PW2312数据手册
- 2021-03-08 12:02:00
- admin 原创
- 8336
PW2312 是一个高频,同步,整流,降压,开关模式转换器内部功率 MOSFET。
它提供了一个非常紧凑的解决方案,以实现 1.5A 的峰值输出电流在广泛的输入
电源范围内,具有优良的负载和线路调节 PW2312 需要最少数量的现成外部组
件,可在节省空间的 SOT23-6 包。
特征
⚫ 宽
4V 至
30V 工作输入范围
⚫
1.2A 连续输出电流
⚫
1.4MHz 开关频率
⚫ 短路保护模式
⚫ 内置过流限制
⚫ 内置过电压保护
⚫ 模式
PWM
⚫ 内部软启动
⚫
200m
Ω
/150m
Ω低
RDS
(
ON
)内
部功率金氧半晶体
⚫
不需要肖特基二极管
⚫
综合内部补偿
⚫
热关机
⚫
提供
SOT23-6
套装
⚫
-40
°
C
至
+85
°
C
温度范围
应用
⚫ 闭路电视摄像机
⚫ 平板电视和显示器
⚫ 电池充电器
⚫ 分布式电力系统
典型应用电路
CIN
推荐
47-100uF
同时并联
0.1uF
, 输入电压低时贴片电容,输入高时要电解电容
COUT
建议
22uF
两个并联,
L1
推荐
2.2-4.7UH
,
C2
一般是
22pF
,可调
输入电压低时,
EN
可直接接
VIN
,输入电压高时,一般串个电阻再接
VIN
。
引脚分配
/
说明
绝对最大额定值
特性表
功能描述
PW2312 是一种电流模式降压型
DC/DC 转换器,可提供优良的瞬态特性响应没有额外的外部
补偿组件。此设备包含内部低电阻,高压功率
MOSFET,并在高
1.4MHz 工作频率下工作
确保紧凑、高效的设计,具有出色的交直流性能。
误差放大器
误差放大器将
FB
引脚电压与内部
FB
基准(
VFB
)进行比较,并输出
a
电流与两者之差成正
比。该输出电流随后用于充电或放电内部补偿网络,这是用来控制功率
MOSFET
电流。优化
后的内部补偿网络使外部元件的数量和简化了控制回路设计。
内部软启动
软启动是为了防止变频器输出电压在启动。当芯片启动时,内部电路产生一个软启动电压
(
SS
)上升从
0V
到
0.807V
。当低于内部参考(
REF
)时,
SS
覆盖
REF
,因此错误发生放大器
以
SS
为基准。当
SS
高于
REF
时,
REF
恢复控制。时间就是时间内部最大为
1.2ms
。
过电流保护和短路
当电感器电流峰值超过设置电流限制阈值。同时,输出电压开始下降,直到
FB
低于欠电压
(
UV
)阈值,通常低于参考值
25%
。一旦一个紫外线被触发,就会进入打嗝模式以定期重
新启动部件。当输出为对地完全短路。平均短路电流大大降低,以减轻热并保护监管者。一
旦过电流情况出现,则退出
hiccup
模式远离的。
启动和关闭
如果
VIN
和
EN
都高于相应的阈值,则芯片启动。对比试块首先启动,产生稳定的参考电压
和电流,然后内部调节器启用。调节器为其余电路提供稳定的电源。三个事件可以结束芯片
下降:
EN
低,
VIN
低和热关机。在关闭程序中,信号首先阻塞路径以避免任何故障触发。
补偿电压和内部供电轨是然后拉下来。浮动驱动器不受此关闭命令的约束。
应用信息
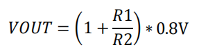
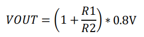
设置输出电压
PW2312 需要一个输入电容器、一个输出电容器和一个电感器。这些组件是对设备性能至关
重要。
PW2312 为内部补偿,不需要外部元件实现稳定运行。输出电压可由电阻器编程分隔
线。
选择感应器
推荐的电感器值如应用图所示。重要的是保证电感器铁芯在任何可预见的操作情况下不会饱
和。这个电感器应额定处理峰值负载电流加上纹波电流:应小心当检查不同的饱和电流额定
值时制造商。饱和电流额定值通常规定为
25
°
C
,因此额定值为最大值应用环境温度应向制
造商索取。
式中,Δ
IL
是电感器纹波电流。选择电感器纹波电流约为
30%
,如果最大负载电流。最大电
感器峰值电流为:
在
100mA
以下的轻载条件下,建议采用较大的电感改善效率。
选择输出电容器
在选择这些部件时应特别注意。这些电容器的直流偏压可能导致电容值低于建议的最小值电
容器规格表。陶瓷电容器的实际电容随温度而变化。在
-
55
°
C
至
+125
°
C
的温度范围内工
作的
X7R
型电容器仅使电容变化在±
15%
范围内。
X5R
型电容器的公差与温度范围为
-
55
°
C
至
+85
°
C
。许多大于
1uF
的大值陶瓷电容器采用
Z5U
或
Y5V
温度特性制造。他们的电容会
下降超过
50%
,因为温度在
25
°
C
到
85
°
C
之间变化。因此建议在
Z5U
上使用
X5R
或
X7R
在环境温度显著高于或低于环境温度变化的应用中
25
摄氏度。钽电容器不如陶瓷电容器作
为输出电容器,因为它们是当比较
0.47uF
到
44uF
的等效电容和电压额定值时,更昂贵范围。
另一个重要的考虑因素是钽电容器的
ESR
值比等效尺寸陶瓷。这意味着,虽然有可能找到一
个钽电容器一个
ESR
值在稳定范围内,它必须在电容上更大(这意味着更大更昂贵)比相同
ESR
值的陶瓷电容器。还应注意的是当温度从
25
°
C
降至
-
40
°
C
时,典型钽的
ESR
将增加
约
2:1
所以必须允许一些保安带。
| 联系人: | 郑先生(夸克微科技,不是夸克浏览器的) |
|---|---|
| 电话: | 13528458039 |
| Email: | zqf@kkmicro.com |
| QQ: | 2867714804 |
| 微信: | 13528458039 |
| 地址: | 深圳市福田区赛格广场24楼2401A |











